このページの本文へ

ここから本文

量子コンピューティング

大規模量子計算が広まる時代を見据えて

業界動向として、量子コンピューターの実現可否が確実な情勢とはいえないものの、実現すれば社会インパクトや市場規模は極めて大きく、先行する企業のロードマップから考えると2030年頃が節目の一つとなると見込まれています。

将来の大規模量子計算が広まる時代への取り組みを核としつつ、疑似量子(あるいは量子インスパイアド)についても公平に精査して(古典高性能計算も含めて)研究開発を行っています。

拡張性の高い量子情報処理の実用化に向け、7者で共同研究契約を締結

三菱電機株式会社は、クオンティニュアム株式会社、慶應義塾大学、ソフトバンク株式会社、三井物産株式会社、国立大学法人横浜国立大学、LQUOM株式会社と7者共同で、拡張性の高い量子情報処理の実用化に向け、複数量子デバイスの実用環境下での接続実証に取り組む共同研究の契約を締結しました。

近い将来、有用な量子コンピューターが登場し、従来の古典コンピューターと共存して商業利用が始まる可能性が示唆されています。しかし、有用な量子コンピューターが現れたとしても、装置一台では処理能力に限りがあり、装置の不具合やメンテナンスによりサービスに支障が生じうることから、処理能力の拡張や柔軟な運用管理を可能にする複数装置の接続の実現が求められています。また、量子情報の伝達には微弱な光が用いられますが、装置間の距離が長くなるほど光が失われる確率が高まるため、遠距離間では量子中継と呼ばれる特殊な中継技術が必要といった課題があります。

本共同研究では、複数の量子コンピューターの接続をはじめとする、拡張性の高い量子情報処理技術の研究開発を行います。技術成熟に向けたステップとしては、①同一拠点内を想定した近場での接続、②近隣都市圏での接続、③全世界にわたる量子インターネットの3段階がありますが、本共同研究では、まず①と②の装置・システムの実現に注力します。
②については実用環境のネットワークで評価する必要があることや、周辺地域の大学やスタートアップが保有するアカデミックな先進技術が必要となることから、川崎市、横浜市、神奈川県とも連携した取り組みを進めます。

詳細については広報発表をご参照ください。
https://www.mitsubishielectric.co.jp/news/2025/0227-a.html

複数の量子コンピューターと従来の古典コンピューターが接続された将来の情報処理基盤のイメージ

誤り耐性汎用量子コンピューターの活用を推進

当社が提供している製品やサービスの中にはセンサの計測データをもとに動作するものも多く、センサデータの誤差が課題となります。そのため、真値の推定に線形回帰などを用いて線形方程式に落とし込み、誤差を低減しています。

また、製品の構造解析では、有限要素法などが用いられますが、これも線形方程式を解くことで解を得ています。このように、当社の製品やその開発において“線形方程式を解く”ことが非常に多くあります。

一方、誤り耐性汎用量子コンピューター向けに量子加速が認められた線形方程式求解法が提案されています(従来文献[1,2])。対角一定行列(Toeplitz行列)という特殊な形式に限られますが、このアルゴリズムを量子ゲートレベルで設計しました。この際、補助的に用いられるアルゴリズムを含めて計算精度と計算時間で評価し、最適なアルゴリズムの組み合わせを発見しました。

また、線形方程式を示す行列Aを量子コンピューターに効率的に入力するためのブロックエンコーディングの評価も実施しました。

評価の結果、行列サイズが指数的に増加しても、量子コンピューティングに必要なリソース(論理量子ビット数、トフォリゲート数) は線形増加に抑えられており、古典コンピューターよりも高速に求解できることが確認できました。なお、これらの取り組みは株式会社QunaSysとの連携によるものです(研究開発成果[13,14,31])。

  1. [1]A. W. Harrow, A. Hassidim, and S. Lloyd. Phys. Rev. Lett. 103, 150502 (2009).
  2. [2]A. Gilyén, Y. Su, G.H. Low, and N. Wiebe, In Proceedings of the 51st Annual ACM SIGACT Symposium on Theory of Computing, STOC 2019, p.193–204 (2019).

量子インスパイアド×最適化

実問題を古典的なアニーリングマシン、量子アニーリングマシン、疑似量子アニーリングマシンでそれぞれ解ける形に変換する「Factorization Machine with Annealing」を前提とし、少ないビット数で実行可能解が出力され、局所最適解が発生する確率が低減する手法を確立しました(研究開発成果[10])。この提案法は局所最適解が発生する確率を大幅に低減し、少ないアニーリングステップ数でよりコストの低い解を得ることができます(下図「アニーリングステップ数 実線:提案法」)。

テンソルネットワーク

物理的対象を多数のテンソルからなるテンソル積の縮約として表現する「テンソルネットワーク」による高効率な情報表現、及び演算の改良を実現しました(研究開発成果[9,19])。これにより、量子コンピューター動作の古典計算機上でのシミュレーションの高速化が可能になります。さらに、本技術の高負荷数値解析への応用についても試行中です。

量子誤り訂正

量子重ね合わせによる膨大な情報量と引き換えに、至るところで誤りが生じることが有用な量子コンピューターの実現を阻んでいます。そのため、量子誤り訂正技術は「誤り耐性量子計算(Fault-Tolerant Quantum Computing, FTQC)」実現の要とされています。

しかし、誤りを抑えようとする操作自体が誤りの原因にもなるため、実際に誤り率を低減させることは容易ではありません。当社では本技術分野のベンチマークからスタートし、現在では独自手法の研究にも取り組んでいます(研究開発成果[16,30])。

近年、注目を集めている動的符号(従来文献[3])において、有限の符号化率を保ちつつ簡易なパリティ検査で実装でき、従来の動的符号(従来文献[4])よりも軽量なデコーダで効果的に復号可能な HCF(Hyperbolic Color Floquet)符号(従来文献[5])を提案。

HCF符号における測定順序の概念図

  1. [3]Hastings and J. Haah, “Dynamically generated logical qubits”, Quantum 5, 564 (2021).
  2. [4]Higgott and N. P. Breuckmann, “Constructions and performance of hyperbolic and semi-hyperbolic Floquet codes”, PRX Quantum 5, 040327 (2024).
  3. [5]Ozawa, I. Kudo, Y. Takeuchi, and T. Yoshida, “Hyperbolic Floquet code with graph-edge syndromes”, arXiv:2509.24110 [quant-ph] (2025).

量子アルゴリズム

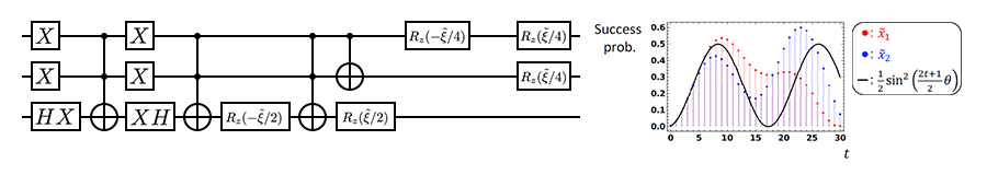
グローバーのアルゴリズムは、整理されていないデータベースから所望のデータを古典コンピュータよりも高速に発見するための量子アルゴリズムです。このような量子優位性の一方、所望のデータが複数ある場合にどれが出力されるかは一様ランダムになるという特徴があります。私達は、検索したいデータが複数ある場合に、それらが各々の優先度に応じた確率で出力されるように改良した量子アルゴリズムを提案しました。オラクル演算子が印加する位相を工夫することで優先度を反映した点が従来手法との違いになっています(研究開発成果[35])。

左図は、私達が用いたオラクル演算子の具体例の量子回路図です。ξ̃は優先度の値に応じて変化するパラメータです。右図は所望のデータが2つある場合に、それらを発見出来る確率を数値計算により求めたものです。従来手法であるグローバーのアルゴリズムでは、オラクル演算子の使用回数tを変化させても、常に発見確率が一致しています(黒線)。一方、我々の量子アルゴリズムでは適切なtを選ぶことで、優先度が高いデータ(赤線)が優先度の低いデータ(青線)よりも高い確率で発見されています。

測定型量子計算

光量子コンピュータに特に適した量子計算方式である測定型量子計算において、計算能力に制限があるリソース状態の内の1量子ビットを置き換えるだけで計算能力を最大化する手法を提案しました(研究開発成果[37])。また、本変換を達成可能な1量子ビット状態は一意であり、他の1量子ビット状態を用いた場合は実行可能な量子ゲートが増加しないということも明らかにしています(研究開発成果[38])。
グラフ状態は測定型量子計算を可能にするリソース状態の代表例であり、世界中で研究が進んでいます。私達は、グラフ状態の忠実度(精度)を統計物理学的手法で数値計算する方法を考案し、脱分極ノイズの増加によって1次相転移が起こることを発見しました(研究開発成果[43])。また、グラフ状態などの測定型量子計算に使用される従来のリソース状態は生成するために最大エンタングル操作を必要としていましたが、任意に弱いエンタングル操作だけでも測定型量子計算が可能であることを示しました(研究開発成果[45,46])。

任意の量子回路の出力確率分布の生成は可能だが出力できる量子状態には制限があるリソース状態(計算万能なリソース状態)の中の1量子ビットをパウリY固有状態に置換するだけで、任意の量子状態の生成も可能になります。

n量子ビットクラスタ状態(左図)の場合、脱分極ノイズの確率pの増加に対して忠実度F(の1⁄n乗)は滑らかに変化しています。一方、より次数が高いグラフ状態(右図)の場合F1⁄nが急激に変化しており1次相転移が起きていることを意味しています。

エンタングル操作の強さに対応するパラメータϕがどれだけ小さい場合でも0でなければ、適切な測定を行うことでクラスタ状態(右図の状態)に変換することができます。ϕ=πは最大エンタングル操作(制御Zゲート)を表しています。

量子計算量理論

ランダムな量子状態や量子ゲートなどの量子ランダムネスの生成は様々な量子情報処理で有用なサブルーチンであり、これまで複数の生成方法が提案されてきました。その一方、正確に生成出来たかどうかを検証することがどれくらい困難かは未探索でした。私達は、量子ランダムネスの検証が理想的な量子コンピュータをもってしても困難なタスクであることを明らかにすると同時に、量子ランダムネスを特徴付ける量であるフレームポテンシャルの大小判定は低精度であれば量子コンピュータで効率良く行えることを示しました。本問題は量子コンピュータが効率良く解ける問題の中で最も難しい問題だということも分かっています(研究開発成果[41])。

フレームポテンシャルを推定するための量子回路です。本回路の出力量子状態ρst/uniの純粋度をスワップテスト等で推定することで、フレームポテンシャルの推定が可能です。

研究開発成果(~2024年度)

  1. [1](最適化・国際会議)Nobuyuki Yoshikawa, “Quantum arrival and departure management,” Congress of International Council of the Aeronautical Science, September 2022.
  2. [2](最適化・国際会議)Kuniaki Satori and Nobuyuki Yoshikawa, “Quantum optimization for location assignment problem in ASSR,” PHM Society Asia-Pacific Conference, September 2023.
  3. [3](最適化・国内発表)内藤 健人, “量子アニーリングを用いた発電機運転計画問題の最適化に関する一検討, ” 情報処理学会量子ソフトウェア研究会, 2023年10月.
  4. [4](最適化・プレプリント)Aruto Hosaka, Koichi Yanagisawa, Shota Koshikawa, Isamu Kudo, Xiafukaiti Alifu, and Tsuyoshi Yoshida, “Preconditioning for a variational quantum linear solver,” arXiv, December 2023.
  5. [5](量子コンピューティング全般・国内発表)越川 翔太, 保坂 有杜, 西川 翔太, 小西 良明, 篠﨑 基矢, 大塚 朋廣, ハシタ ムトゥマラ ウィッデヤスーリヤ, 張山 昌論, 吉田 剛, “通信用ロジック・アルゴリズムを活用した量子古典ハイブリッド求解技術の検討, ” 電子情報通信学会CS/OCS研究会, 2024年1月.
  6. [6](ネットワーク・プレプリント)Aruto Hosaka, Shintaro Niimura, Masaya Tomita, Akihito Omi, Masahiro Takeoka, and Fumihiko Kannari, “Multimode quantum correlations in supercontinuum pulses,” arXiv, March 2024.
  7. [7](AI・プレプリント)Alifu Xiafukaiti, Devanshu Garg, Aruto Hosaka, Koichi Yanagisawa, Yuichiro Minato, and Tsuyoshi Yoshida, “Application of tensorized neural networks for cloud classification,” arXiv, March 2024.
  8. [8](ネットワーク・論文)Kentaro Wakui, Yoshiaki Tsujimoto, Tadashi Kishimoto, Mikio Fujiwara, Masahide Sasaki, Aruto Hosaka, Fumihiko Kannari, and Masahiro Takeoka, “Modelocked thermal frequency combs for ultrashort chaotic quantum optics,” Advanced Quantum Technologies, May 2024.
  9. [9](古典シミュレーション・プレプリント)Koichi Yanagisawa, Aruto Hosaka, and Tsuyoshi Yoshida, “Simplification of tensor updates toward performance-complexity balanced quantum computer simulation,” arXiv, June 2024.
  10. [10](最適化・プレプリント)Shota Koshikawa, Aruto Hosaka, and Tsuyoshi Yoshida, “Efficient bit labeling in factorization machines with annealing for traveling salesman problem,” arXiv, July 2024.
  11. [11](量子コンピューティング全般・国内発表)工藤 勇, 越川 翔太, 柳澤 孝一, “Introduction of quantum-related computing and networking research” 東京大学WINGS-QSTEP社会連携講座シンポジウム(依頼講演), 2024年8月.
  12. [12](最適化・プレプリント)Rie Fujii, Shin-ichiro Kakuta, Phillip Kerger, Nadav Kohen, Spencer Lee, Kanon Sakurai, Aruto Hosaka, Isamu Kudo, and Tsuyoshi Yoshida, “G-RIPS Mitsubishi-B Project: Final Report,” August 2024.
  13. [13](算術演算・国際会議)Kenzo Makino, Hiroaki Murakami, Yasunori Lee, Keita Kanno, Kenji Minefuji, and Tomonori Fukuta, “Angle finding of quantum signal processing for matrix inversion,” Asian Quantum Information Science Conference, August 2024.
  14. [14](算術演算・国際会議)Yasunori Lee, Keita Kanno, Kenzo Makino, and Hiroaki Murakami, “Demonstration of quantum sparse matrix inversion based on quantum singular value transformation,” Asian Quantum Information Science Conference, August 2024.
  15. [15](最適化・国際会議)Nobuyuki Yoshikawa, “Pairwise swapping sequence optimization by Metropolis-hasting algorithm with quantum annealing for air traffic control,” Congress of International Council of the Aeronautical Science, September 2024.
  16. [16](誤り訂正・国内発表)工藤 勇, 鈴木 一樹, 丹治 和史, 保坂 有杜, 武岡 正裕, 吉田 剛, “ベル状態生成におけるSteane符号を用いた量子誤り訂正の数値解析,” 電子情報通信学会ソサイエティ大会, 2024年9月.
  17. [17](最適化・国際会議)Tsuyoshi Yoshida, Hayato Sano, Shota Koshikawa, Alifu Xiafukaiti, Magnus Karlsson, and Erik Agrell, “Black-box optimization of parametrically modeled digital circuitry for optical communications,” European Conference on Optical Communication, September 2024.
  18. [18](最適化・国内発表)芳川 昇之, 佐鳥 玖仁朗, “Pair swapping-based sequence optimization with quantum annealing, ” 電子情報通信学会 第27回情報論的学習理論ワークショップ, 2024年10月.
  19. [19](古典シミュレーション・国際会議)Koichi Yanagisawa, Aruto Hosaka, Tsuyoshi Yoshida, Tsuyoshi Okubo, and Synge Todo, “Simplification of tensor updates for quantum computer simulation,” European Quantum Technologies Conference, November 2024.
  20. [20](最適化・国内発表)保坂 有杜, “量子・古典分散最適化計算, ”量子ソフトウェア寄付講座 第5回ソフトウェアワークショップ(招待講演), 2024年12月.
  21. [21](最適化・国内発表)越川 翔太, 保坂 有杜, 吉田 剛, “巡回セールスマン問題へのブラックボックス最適化適用における量子・古典アニーラの比較, ” 量子ソフトウェア寄付講座 第5回ソフトウェアワークショップ, 2024年12月.
  22. [22](最適化・国内発表)越川 翔太, 望月 敬太, 吉田 剛, “量子インスパイアド最適化技術を用いた光方向性結合器設計検討, ” 電子情報通信学会CS/OCS研究会, 2025年1月.
  23. [23](ネットワーク・国際会議)Joe Yoshimoto, Hikaru Shimizu, Kazufumi Tanji, Aruto Hosaka, Junko Ishi-Hayase, Tomoyuki Horikiri, Rikizo Ikuta, and Masahiro Takeoka, “Simple quantum state tomography of single-photon entanglement,” SPIE Photonics West, January 2025.
  24. [24](量子機械学習・国際会議)Toshiaki Koike-Akino, Keisuke Kojima, and Mari Taguchi, “Enhancement of data reuploading for photonic neural computing without nonlinear optical components,” SPIE Photonics West, January 2025.
  25. [25](ネットワーク・論文)Hikaru Shimizu, Joe Yoshimoto, Kazufumi Tanji, Aruto Hosaka, Junko Ishi-Hayase, Tomoyuki Horikiri, Rikizo Ikuta, and Masahiro Takeoka, “Quantum state estimation of multi-partite single photon path entanglement via local measurements,” Physical Review A, February 2025.
  26. [26](最適化・国内発表)越川 翔太, 岡南 佑紀, 萩原 開人, 吉田 剛, “連続線形イコライザ設計におけるアニーリングを用いたブラックボックス最適化検討, ” 第3回量子アニーリング及び関連技術研究会, 2025年2月.
  27. [27](古典シミュレーション・国内発表)Koichi Yanagisawa, Aruto Hosaka, Tsuyoshi Yoshida, Tsuyoshi Okubo, and Synge Todo, “Simplification of tensor updates for quantum computer simulation,” 5th SQAI General Meeting, February 2025.
  28. [28](最適化・国内発表)Shota Koshikawa, Yuki Okanami, Kaito Hagiwara, and Tsuyoshi Yoshida, “Investigation of annealing-based blackbox optimization for continuous linear equalizer design,” 5th SQAI General Meeting, February 2025.
  29. [29](最適化・国内発表)越川 翔太, 岡南 佑紀, 萩原 開人, 吉田 剛, “アニーリングを用いたブラックボックス最適化による高周波損失デジタル信号波形歪み補償,” 2024年度東大WINGS-QSTEPコロキウム, 2025年2月.
  30. [30](誤り訂正・国内発表)工藤 勇, 保坂 有杜, 吉田 剛, “Many-Hypercube 符号の拡張と連接に関する検討, ” 情報処理学会 第198回ハイパフォーマンスコンピューティング・第14回量子ソフトウェア合同研究発表会, 2025年3月.
  31. [31](算術演算・国内発表)村上 浩章, 牧野 兼三, 李 泰憲, 菅野 恵太, 福田 智教, “Clifford+Tゲートセットによる逆行列計算の実装と評価, ”情報処理学会 第198回ハイパフォーマンスコンピューティング・第14回量子ソフトウェア合同研究発表会, 2025年3月.
  32. [32](最適化・国内発表)越川 翔太, 保坂 有杜, 吉田 剛, “巡回セールスマン問題に対するFMQAにおける効率的なビットラベリング, ” 電子情報通信学会総合大会, 2025年3月.

研究開発成果(2025年度)

  1. [33](最適化・国内発表)越川 翔太, 望月 敬太, 吉田 剛, “光方向性結合器の設計における量子インスパイアド最適化手法, ” レーザ・量子エレクトロニクス研究会, 2025年5月.
  2. [34](誤り訂正・国内発表)小沢 英之, 吉田 剛, “Floquet 符号に関するデコード処理の比較検討,” 第52回量子情報技術研究会, 2025年5月.
  3. [35](量子コンピューティング全般・論文)Kota Tani, Shunji Tsuchiya, Seiichiro Tani, and Yuki Takeuchi, “Quantum algorithm for unstructured search of ranked targets,” Physica Scripta, June 2025.
  4. [36](古典シミュレーション・国内発表)柳澤 孝一, “テンソルネットワークを活用した流体解析の基礎評価, ” 量子ソフトウェア寄付講座 第6回量子ソフトウェアワークショップ, 2025年6月.
  5. [37](量子コンピューティング全般・国際会議)Yuki Takeuchi, “Catalytic transformation from computationally universal to strictly universal measurement-based quantum computation,” Asian Quantum Information Science Conference, August 2025.
  6. [38](量子コンピューティング全般・国際会議)Yasuaki Nakayama, Yuki Takeuchi, and Seiseki Akibue, “Unique catalyst for transformation from computationally universal to strictly universal quantum computation,” Asian Quantum Information Science Conference, August 2025.
  7. [39](誤り訂正・国際会議)Hideyuki Ozawa, and Tsuyoshi Yoshida, “Designing Floquet Codes with High Encoding Rates and Fewer Gates,” 7th International Conference on Quantum Error Correction, August 2025.
  8. [40](最適化・国内発表)越川 翔太, 萩原 開人, 吉田 剛, “Black-Box Optimization of Continuous Linear Equalizers Using Annealing Techniques, ” 情報科学技術フォーラム, 2025年9月.
  9. [41](量子コンピューティング全般・論文)Yoshifumi Nakata, Yuki Takeuchi, Martin Kliesch, and Andrew Darmawan, “Computational Complexity of Unitary and State Design Properties,” PRX Quantum, September 2025.
  10. [42](誤り訂正・プレプリント)Hideyuki Ozawa, Isamu Kudo, Yuki Takeuchi, and Tsuyoshi Yoshida, “Hyperbolic Floquet code with graph-edge syndromes,” arXiv, September 2025.
  11. [43](量子コンピューティング全般・プレプリント)Tatsuya Numajiri, Shion Yamashika, Tomonori Tanizawa, Ryosuke Yoshii, Yuki Takeuchi, and Shunji Tsuchiya, “Phase Transitions and Noise Robustness of Quantum Graph States,” arXiv, October 2025.
  12. [44](古典シミュレーション・国際会議)Koichi Yanagisawa, Tsuyoshi Okubo, and Synge Todo, “Extending applicable boundary conditions toward practical quantum-inspired CFD,” European Quantum Technologies Conference 2025, November 2025.
  13. [45](量子コンピューティング全般・プレプリント)Tomohiro Yamazaki and Yuki Takeuchi, “Measurement-based quantum computation on weighted graph states with arbitrarily small weight,” arXiv, December 2025.
  14. [46](量子コンピューティング全般・国内発表)山﨑 友裕, 竹内 勇貴, “一様重み付きグラフ状態による測定型量子計算,” 第53回量子情報技術研究会, 2025年12月.
  15. [47](誤り訂正・国内発表)小沢 英之, 工藤 勇, 竹内 勇貴, 吉田 剛, “双曲空間における周期駆動型の量子誤り訂正符号,” コミュニケーションシステム研究会, 2026年1月.
  16. [48](誤り訂正・国際会議)Hideyuki Ozawa, Isamu Kudo, Yuki Takeuchi, and Tsuyoshi Yoshida, “Hyperbolic Floquet code with graph-edge syndromes,” 29th Annual Quantum Information Processing Conference, January 2026.